خازن الکتریکی یک قطعه دو پایه است که در کنار مقاومت و سلف، جز پرکاربردترین قطعات الکترونیکی پسیو می باشد که تقریبا در همه مدارات مورد استفاده قرار می گیرد. در این مقاله بعد از تعریف خازن با نماد مداری و واحد اندازه گیری آن آشنا خواهید شد. در ادامه ساختار داخلی، روابط ریاضی مربوطه، نحوه عملکرد و مدار شارژ و دشارژ آن را بررسی می کنیم. در انتها نیز فرمول های مربوط به ظرفیت خازن در اتصالات سری و موازی توضیح داده خواهند شد. پس برای شناخت کامل خازن الکتریکی تا انتهای این مقاله همراه ما باشید.

وظیفه اصلی خازن الکتریکی، ذخیره و آزاد سازی انرژی الکتریکی در مدار می باشد. خازن ها انواع مختلفی دارند، اما اصول عملکردی همه آنها یکسان است. به این صورت که با اعمال ولتاژ به دو سر خازن، انرژی الکتریکی در آن ذخیره شده و در زمان مورد نظر می تواند آن را در اختیار مدار قرار دهد.
نماد مداری خازن الکتریکی
خازن های الکتریکی به صورت کلی به دو دسته تقسیم می شوند:
- دارای پلاریته که جهت قرارگیری آنها در مدار مهم است و نماد مداری آن مطابق با تصویر شماره ۲ است.
- بدون پلاریته که می توان آنها را در هر جهتی در مدار قرار داد و نماد مداری آن مطابق با تصویر شماره ۱ است.

واحد اندازه گیری خازن الکتریکی
هر خازن الکتریکی با توجه به میزان انرژی که می تواند در خود ذخیره کند دارای یک ظرفیت مشخصی است. هرچه میزان ظرفیت بالاتر باشد، توانایی ذخیره انرژی آن نیز بالاتر خواهد بود. واحد اندازه گیری استاندارد ظرفیت خازن برحسب فاراد است که با حرف F نمایش داده می شود.

برای نمایش یک خازن الکتریکی در مدار طبق تصویر بالا، لازم است حتما نام و مقدار ظرفیت آن ذکر شود. به طور مثال در این تصویر، خازن C1 از نوع دارای پلاریته و با ظرفیت ۱۰۰ میکرو فاراد، خازن C2 از نوع دارای پلاریته و با ظرفیت ۱۰ میکرو فاراد و خازن C3 از نوع بدون پلاریته با ظرفیت ۱۰۰ نانو فاراد می باشد.
دقت شود که فاراد واحد اندازه گیری بزرگی است. در عمل در مدارات الکتریکی از ضرایت کوچک تر این واحد اندازه گیری طبق جدول زیر استفاده می شود.

ساختار خازن الکتریکی
نماد مداری خازن الکتریکی تا حد زیادی ساختار داخلی آن را نمایش می دهد. در واقع این قطعه، از دو صفحه فلزی که مابین آنها یک ماده دی الکتریک قرار گفته، ساخته می شود.

دی الکتریک می تواند از جنس کاغذ، سرامیک، پلاستیک و … باشد که هر کدام از این مواد خاصیت عایقی متفاوتی دارند. همچنین جنس صفحات فلزی می تواند از نوع آلومینیوم، تانتالیوم و … باشد و دو پایه خازن هم در واقع به همین دو صفحه فلزی متصل هستند.
محاسبه ظرفیت خازن
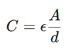
ظرفیت یک خازن الکتریکی را می توان با استفاده از فرمول زیر محاسبه کرد:


طبق فرمول و با توجه به تصویر بالا، ظرفیت خازن الکتریکی به چند پارامتر وابسته است:
- d: مورد اول فاصله دو صفحه فلزی(d). هرچه این فاصله کمتر باشد، مقدار ظرفیت بیشتر خواهد بود.
- A: مورد دوم سطح مشترک دو صفحه فلزی(A) که رو در روی یکدیگر قرار گرفته اند. هرچه میزان این صفحه مشترک بیشتر باشد، مقدار ظرفیت بالاتر خواهد بود.
- ε : مورد سوم ضریب گذردهی ماده دی الکتریک(ε) که هرچه میزان این ضریب بالاتر باشد، مقدار ظرفیت بالاتر خواهد بود.
همچنین به رابطه مهم زیر توجه کنید:
Q=CV
این فرمول بیان می کند که بارالکتریکی(Q) ذخیره شده در خازن با ظرفیت و ولتاژ اعمالی به دو سر آن رابطه مستقیم دارد. هرچه مقدار ظرفیت و ولتاژ اعمالی به آن بالاتر باشد، مقدار بار الکتریکی ذخیره شده نیز بالاتر خواهد بود.
نحوه عملکرد خازن
زمانی که خازن در مدار به یک منبع تغذیه DC متصل می شود، مطابق با تصویر زیر در ابتدا با عبور جریان، به اندازه ولتاژ تغذیه ای که به آن متصل شده شارژ می شود. در این حالت با توجه به جهت اتصال ولتاژ تغذیه، یکی از صفحات که به سر مثبت تغذیه متصل است دارای بار الکتریکی مثبت شده و صفحه دیگر دارای بار الکتریکی منفی می شود.
قرارگیری بار مثبت و منفی بر روی صفحات خازن باعث ایجاد میدان الکتریکی درون آن شده و اجازه جابه جایی بارهای بیشتر و ایجاد جریان الکتریکی را نمی دهد.


شارژ و دشارژ خازن
از قابلیت شارژ شدن خازن می توان در مدارات مختلف و برای کاربردهای متفاوتی استفاده کرد. به طور مثال در مدار زیر نحوه شارژ و دشارژ نمایش داده شده است. در ابتدا مطابق با تصویر زیر خازن با متصل شدن به منبع تغذیه، به اندازه ولتاژ منبع تغذیه شارژ می شود و انرژی الکتریکی را در خود ذخیره می کند.

در ادامه با تغییر وضعیت کلید، دو سر خازن به یک بار که شامل یک مقاومت سری شده با LED است، متصل می شود. در این حالت انرژی الکتریکی از مسیر این بار تخلیه شده و باعث روشن شدن LED می شود.

سری و موازی کردن خازن ها
با توجه به نیازهای مختلفی که در مدارات الکتریکی وجود دارد، می توان خازن های الکتریکی را در ترکیب های سری و موازی مختلف در مدارات به کار گرفت.
اتصال موازی
در اتصال موازی، ظرفیت خازن معادل برابر است با مجموع ظرفیت تک تک خازن ها که می توان مطابق با فرمول زیر آن را بدست آورد:

به طور مثال زمانی که سه خازن با ظرفیت ۱۰ میکرو فاراد، ۱ میکرو فاراد و ۰.۱ میکرو فاراد با یکدیگر موازی شوند، مقدار ظرفیت معادل برابر است با مجموع این ظرفیت ها، یعنی ۱۱.۱ میکرو فاراد.
اتصال سری
در اتصال سری، معکوس ظرفیت خازن معادل برابر است با مجموع معکوس ظرفیت تک تک خازن های سری که می توان مطابق با فرمول زیر بدست آورد:

زمانی که فقط دو قطعه با یکدیگر سری شوند، فرمول بالا به صورت زیر ساده سازی می شود:

در ادامه آموزش می توانید مقاله ((انواع خازن الکتریکی)) و ((کاربردهای خازن الکتریکی)) را مطالعه بفرمایید.
امیدواریم این آموزش اطلاعات مناسبی را در اختیار شما قرار داده باشد. با ارائه نظرات، پیشنهادات و انتقادات خود ما را در هرچه بهتر شدن ارائه مطالب یاری کنید.
میانگین امتیاز ۴.۴ / ۵. تعداد رای: ۹
